The experimental part of the project included the laboratory-scale studies of evaporation in different nanofluids.
Aiming at the most optimum composition of the nanofluid, we have altered:
- mass concentration of the nanoparticles,
- material of the nanoparticles: iron oxide (IO) and carbon black (CB) were considered,
- colloidal stability (surfactants)
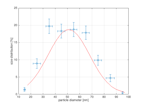
Dry carbon black nanoparticles were studied with SEM and TEM at the University of Bergen.

ImageJ treatment of the microscopic pictures results with CBNP sizes 51±17 nm.
The particle size distribution function is presented below

The nanofluids were produced by two-step method, dispersing the nanoparticles in an ultrasound bath. Upon the fabrication, the nanofluids are subjected to an artificial thermal radiation in an experimental system, presented schematically below

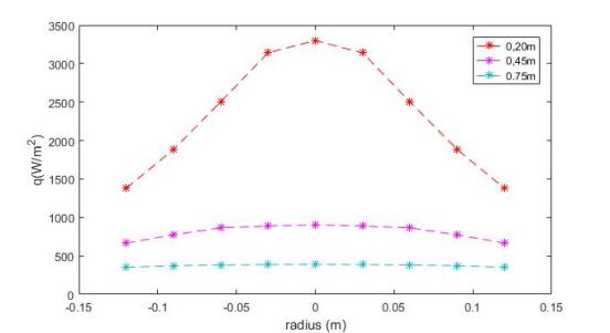
The spatial distribution of thermal heat flux from the lamps is provided in the figure below as a function of radial and axial co-ordinates from the lamp center. The 300-nm shift to the red region relative to the solar spectrum was detected for the lamps.

heat flux variation vs radius
- the video illustrates how does the carbon-black nanofluid boil under the external radiation
Considering evaporation of the nanofluid, we observe significant superheat of the solar steam. A typical experimental log is presented below (steam T and sample volume vs time):

The photo-thermal performance of the system, characterized by the evaporation efficiency, was considered at different concentrations of the nanoparticles:

The most optimum composition is at 3% wt.
More information on our experiments is provided in the most recent short communication.